当执行细胞增殖分析时,FCS Express会根据您的数据自动计算几种proliferation fit(增殖拟合)和proliferation population(增殖细胞群)统计。要为这些显示的统计更改用户选项,请参见“格式化对象”教程中的“统计参数”章节下的“增殖拟合统计选项”和“增殖群体统计选项”部分。
要打开一细胞增殖统计窗口,在细胞增殖统计柱状图上右击,将鼠标移至弹出窗口的Statistics(统计)上,然后从子菜单选择需要的类型(图264)。

Figure 26.4 Choosing Proliferation Statistics
第一个选项,Standard Histogram Statistics(标准柱状图统计),表示非细胞增殖柱状图可用的统计。
Proliferation Fit Statistics(分裂拟合统计)描述了拟合的数据。图265给出了一个细胞增殖拟合统计的例子。用来计算的统计公式显示在下表中。

Figure 26.5 Proliferation Fit Statistics
显示在窗口中的统计解释喻下表中
P代表能找到的数据峰的个数 (其中 P是0 ,表示未分裂的细胞)。
N代表一个世代中,细胞的数量。
μ代表细胞群的平均值。
所有下面的统计,都是假设的没有死细胞的情况。
统计 |
数学公式 |
描述 |
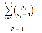
Proliferation Index(增殖指数) |
|
由一个初始细胞增殖得来的平均细胞数量。 |
Division Index(分裂指数) |
|
由一个分裂细胞增殖得来的平均细胞数量。 |
# of Original Cells(原始细胞数量) |
|
在未分列前的细胞数量。 |
% Divided(分裂细胞百分比) |
|
原始细胞中,进行分裂的细胞所占的百分比。 |
Peak Ratio(数据峰比率) |
|
所有数据峰位置的平均比率。 |
# of Fitted Cells(拟合细胞的数量) |
|
拟合时,计算的细胞总数量。 |
Degrees of Freedom(自由度) |
N/A |
通道数量减去拟合参数数量减去1。 |
R-Chi Square(R-卡方) |
|
关于模型的“拟合优度”的评估。数值在5以下,表明拟合良好。 R表示数据的范围。 O(i)表示数据值是i。 F(i)表示拟合值是i。 σ(i)表示测量误差是i。 通过比较一个平滑的版本 (7个点的平滑处理),来评估测量误差。 |
RMS error(均方根误差) |
|
关于模型的“拟合优度”的评估。 R表示数据的范围。 O(i)表示数据值是i。 F(i)表示拟合值是i。 |
增殖细胞群统计用来衡量在实验中分裂过的多代细胞(图266)。用来计算的统计公式显示在下表中。

Figure 26.6 Proliferation Population Statistics
这一窗口中显示的说明,位于下表中。注意:所有的统计都是每代细胞特定的。
统计 |
描述 |
Peak Channel(峰值通道) |
数据峰的x-轴值。 |
Peak Value(峰值) |
数据峰的y-轴值。 |
Log Std.Dev.(标准偏差的对数) |
标准偏差的对数(Std.Dev.。. ?The Std.Dev.衡量事件偏离平均值或者方差的平方根程度。 |
Log CV(变异系数的对数) |
变异系数的对数。CV衡量数据发布情况,等于标准偏差除以平均值。 |
Peak Ratio(数据峰比率) |
表示与上一代荧光间的比值。最理想的值是0.5。 |
# of Cells(细胞数) |
拟合时,计算的细胞总数量。 |
# of Orig Cells(源细胞的数量) |
增殖到拟合时计算的细胞总数量的源细胞数(即分裂前的细胞数量)。 |
% of Orig Cells(源细胞的百分比) |
原始细胞总数的百分比。 |