FCS data has traditionally been acquired on either a linear or logarithmic scale, and the appropriate scaling is stored in the header of the FCS data file. Although FCS Express has supported displaying linear data on a logarithmic scale, the data has traditionally been displayed on the same scale as it was acquired.
The logarithmic scale has the disadvantage that it cannot display values below zero. This is considered a limitation when performing software compensation where it is common for a significant proportion of compensated data to appear in a "negative" channel. When displayed on a log scale, the negative values are placed on the axis, where they can be easily missed, leading you to overcompensate your data.
To overcome this limitation, several additional axis scalings have been developed. These scalings share the general characteristic that they behave linearly close to zero, and behave logarithmically farther away from zero. These scalings also are defined to be able to graph data below zero. Scalings that are a combination of linear and log scalings are called hybrid scalings. More details can be found in the following publications:
•Herzenberg LA, Tung J, Moore WA, Herzenberg LA, Parks DR. Interpreting flow cytometry data: a guide for the perplexed. Nat Immunol 2006;7:681-685.
•Parks DR, Roederer M, Moore WA. A New "Logicle" Display Method Avoids Deceptive Effects of Logarithmic Scaling for Low Signals and Compensated Data. Cytometry A 2006;69A:541-545.
•Bagwell CB. Hyperlog – A Flexible Log-like Transform for Negative, Zero, and Positive Valued Data. Cytometry A 2005;64A:34-42.
•Battye FL. A Mathematically Simple Alternative to the Logarithmic Transform for Flow Cytometric Fluorescence Data Displays. Cytometry A 2006;69A:413-414.
FCS Express supports the following axis scalings:
•Linear – Standard linear scaling
•Log – Standard log scaling
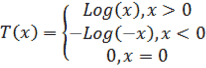
•Log with Negative – This is a modified log scaling.

In the normal log function the zero and negative values are undefined, and if they are obtained during compensation they are commonly represented as events stacked on the axis, as is commonly seen in compensated data. In the log with negative function, if negative values are encountered, the log of its absolute value is calculated and displayed on the negative side of the scale, effectively creating a "negative logarithm" display which is a mirror image of its positive counterpart. Zero values are still kept on axis.
•Biexponential
The biexponential display was popularized by the BD FACSDiva software. As a result of our close collaboration with BD, FCS Express now supports all of the options that FACSDiva does in terms of displaying biexponential data. In fact, we have implemented FACSDiva's proprietary algorithm for calculating the reflection point, so the results from FCS Express will look identical to the results from the FACSDiva software.
•Hyperlog™ 2 – Described in the Bagwell paper, above.
•Lin/Log – Described in the Battye paper, above.
![]()
This transform is purely linear below a transition point and purely log above the transition point. The a and c coefficients are matched so that the function is continuous at the transition point.
•ArcSinh
ArcSinh is an inverse hyperbolic function most widely used with .fcs files generated by CyTOF Mass Cytometry. ArcSinh values are calculated by applying the ArcSinh equation to the raw intensity value and dividing by a cofactor. The "cofactor" defines the size of the linear region around 0, with smaller cofactors corresponding to a longer linear region.
