FCS Express has the ability to fit your data to many different types of equations.

 

Below you will find a table indicating the equation, the formula associated with it, and the parameters defined in FCS Express when a fit is performed.

 

Equation Name

FCS Express

Function Name

Equation

Variables

Michaelis Menten

MichMenten

EqnMichMenten

 

Vmax, Km

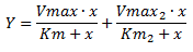
TwoSiteBinding

TwoSiteBinding

EqnTwoSiteBinding

Vmax, KM, Vmax2, KM2

Four Parameter Logistic (4PL)

FourParmLogistic

EqnFourParmLogistic

Imax, Imin, IC50, Hill

Five Parameter Logistic (5PL)

FiveParmLogistic

EqnFiveParmLogistic

Imax, Imin, IC50, Hill, Asym

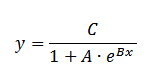
Boltzmann

Boltzmann

EqnBoltzman

Bottom, Top, V50, Slope

Exponential

Exponential

EqnExponential

A, M, C

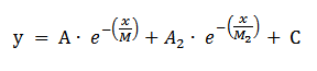
Two Phase Exponential

TwoPhaseExponential

EqnTwoPhaseExponential

A, M, A2, M2, C

Exponential Association

ExpAssociation

EqnExpAssociation

Ymax1, K1

Two Phase Exponential Association

TwoPhaseExpAssociation

EqnTwoPhaseExpAssociation

Ymax1, K1, Ymax2, K2

Exponential Grow

ExponentialGrow

EqnExponentialGrow

A, M, C

Power

Power

EqnPower

A1, B1, K

Power Series

PowerSeries

EqnPowerSeries

A1, B1, A2, B2, K

Linear

Linear

EqnLinear

m, b

Parabolic

Parabolic

EqnParabolic

m, b, A2

Cubic

Cubic

EqnCubic

m, B, A2, A3

Sine Wave

SineWave

EqnSineWave

Baseline, Amplitude, Frequency, Offset

Gaussian

Gaussian

EqnGaussian

A, SD, xMed, K

Sigmoidal

Sigmoidal

EqnSigmoidal

A, B, C

Decreasing Sigmoidal

SigmoidalDec

EqnSigmoidalDec

A, B, C