FCS Express Version 5可将用户数据用不同的方程进行拟合。

 

下表中列出了这些方程(它们包括多种公式)及FCS Express在进行数据拟合时定义的参数。

 

方程名称

FCS Express

Function Name(函数名称)

Equation(方程)

Variables(变量)

Michaelis Menten(米氏方程)

MichMenten

EqnMichMenten

 

Vmax, Km

TwoSiteBinding(双位结合)

TwoSiteBinding(双位结合)

EqnTwoSiteBinding

Vmax, KM, Vmax2, KM2

Four Parameter Logistic(四参数逻辑) (4PL)

FourParmLogistic

EqnFourParmLogistic

Imax, Imin, IC50, Hill

Five Parameter Logistic(五参数逻辑) (5PL)

FiveParmLogistic

EqnFiveParmLogistic

Imax, Imin, IC50, Hill, Asym

Boltzmann(玻尔兹曼函数)

Boltzmann(玻尔兹曼函数)

EqnBoltzman

Bottom, Top, V50, Slope

Exponential(幂指数)

Exponential(幂指数)

EqnExponential

A, M, C

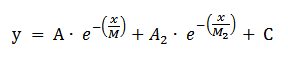
Two Phase Exponential(双相幂指数)

TwoPhaseExponential

EqnTwoPhaseExponential

A, M, A2, M2, C

Exponential Association(幂指数关联)

ExpAssociation

EqnExpAssociation

Ymax1, K1

Two Phase Exponential Association(双相幂指数关联)

TwoPhaseExpAssociation

EqnTwoPhaseExpAssociation

Ymax1, K1, Ymax2, K2

Exponential Grow(指数增长)

ExponentialGrow

EqnExponentialGrow

A, M, C

Power(幂函数)

Power(幂函数)

EqnPower

A1, B1, K

Power Series(幂级数)

PowerSeries

EqnPowerSeries

A1, B1, A2, B2, K

Linear(线性函数)

Linear(线性函数)

EqnLinear

m, b

Parabolic

Parabolic

EqnParabolic

m, b, A2

Cubic(立方函数)

Cubic(立方函数)

EqnCubic

m, B, A2, A3

Sine Wave(正弦曲线)

SineWave

EqnSineWave

Baseline(基线), Amplitude(振幅), Frequency(频率), Offset(偏移)

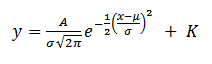
Gaussian(高斯函数)

Gaussian(高斯函数)

EqnGaussian

A, SD, xMed, K

Sigmoidal

Sigmoidal

EqnSigmoidal

A, B, C

Decreasing Sigmoidal(递减反曲线)

SigmoidalDec

EqnSigmoidalDec

A, B, C