用户的动力学数据文件有时在默认设置下不能被很好地显示。在这一节中,我们将学习如何调整分辨率以便正确地查看用户数据,以及如何显示动力学曲线的标准偏差。
用户在跟着本教程练习过程中可以使用自己的动力学数据,也可以使用本教程提供的样本数据。样本数据文件可在Tutorial Sample Data archive(教程样本数据库)中找到。本章节中,将用到KineticsTutorialScaling.fey版面、kinetics10.010和kinetics25.025数据文件。
| 1. | 请选择File(文件)标签→Open Layout(打开版面)。 |
| 2. | 从Load Layout(导入版面)对话框中选择FCS Express Sample Data( FCS Express样本数据)目录下的KineticsTutorialScaling.fey版面文件。 |
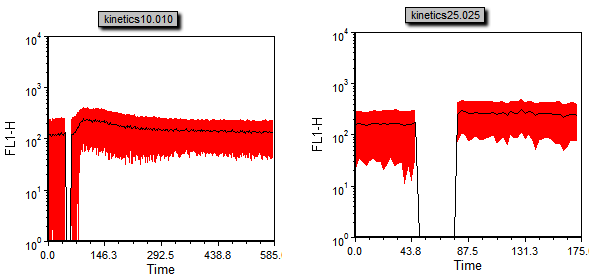
这时,版面看起来应如下图T21.21所示。红线显示的是样本的标准偏差,而黑线显示的是Fl-1的"中间数"数值。样本kinetics10.010被正确地显示,并未显示标准偏差。请注意:样本kinetics25.025有一个很多波动的黑色信号线,并显示出了标准偏差。波动黑线的产生是因为绘图的分辨率过高。我们现在就来对kinetics25.025绘图进行格式化,去掉标准偏差,并调整一下分辨率以便更好地显示绘图。

Figure T21.21 Kinetics Tutorial Layout After Adding Sample Data
| 3. | 点击kinetics25.025绘图,将其选中。 |
| 4. | 选择Format(格式)→Plot Options(绘图选项)→Overlays(叠加图层)命令。 |
| 5. | 取消对Show Standard Deviation(显示标准偏差)复选框的选择(图T21.22)。 |

Figure T21.22 Unchecking Show Standard Deviation
| 6. | 点击OK。 |
红色的标准偏差现在已经从图T21.23中删去。

Figure T21.23 Sample Plots with Standard Deviation Highlighting Removed
我们现在将更改样本kinetics25.025的分辨率,以便合适地显示绘图。
| 7. | 右键点击kinetics25.025绘图。 |
| 8. | 从弹出菜单选择Format(格式)选项。 |
| 9. | 选择Kinetics Option(动力学选项)→Binned Plot Specific Options(区间化绘图特定选项)项目。 |
| 10. | 点击Resolution Options(分辨率选项)下的Resolution(分辨率)下拉列表(图T21.24)。 |

Figure T21.24 Changing the Resolution on a Plot
| 11. | 选中64x64分辨率选项。 |
| 12. | 点击OK。 |
现在,绘图已经更新,并显示在合适的坐标范围内,如图T21.25所示。

Figure T21.25 Changing the Resolution: 256x256 (Left) to 64x64 (Right)
经过以上的步骤之后,版面看起来应该如图T21.26所示。

Figure T21.26 Kinetics Plots Scaled Properly
现在,我们要在这两个绘图上同时应用标准偏差线。
| 13. | 请按下CTRL+A键,将这两个绘图选中。 |
| 14. | 选择Format(格式)→Plot Options(绘图选项)→Overlays(叠加图层)命令。 |
| 15. | 更改Gate(门)为Gate 1(门1)。 |
| 16. | 选中Show Standard Deviation(显示标准偏差)复选框。 |
| 17. | 点击OK。 |
现在,版面看起来应如图T21.27所示。

Figure T21.27 Kinetics Plots with Standard Deviation Highlighting Applied